Bóbrka
Chorkówka
Draganowa
Faliszówka
Kobylany
Kopytowa
Leśniówka
Machnówka
Poraj
Sulistrowa
Szczepańcowa
Świerzowa Polska
Zręcin
Żeglce
Kontakt
Reklama
Strona główna
Aktualności
Galerie
Ankiety
Start
Aktualności
Galerie
Ankiety
Kontakt
Wiadomości - Strona 29
Potrącenie kobiety w Kobylanach
Oficjalne przekazanie samochodu strażackiego dla OSP Zręcin
Wyniki niedzielnych spotkań
Zapowiedź ostatniej kolejki
Uroczyste przekazanie nowego samochodu - zaproszenie
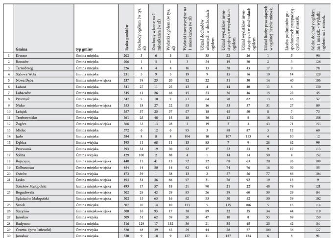
Ranking podkarpackich gmin, Chorkówka na 120 miejscu
Lokale wyborcze w nadzwyczajnych sytuacjach będą chronione
Pogorzelcy mają już dach
315 metrów bezpieczeństwa
Wyniki niedzielnych spotkań
Już jest, czerwony i piękny!
Zapowiedź niedzielnych spotkań
Niebezpieczny uskok w Świerzowej Polskiej
Po raz ostatni obradowali na sesji
Woda zdatna do picia
Sulistrowej nic nie grozi
Prawdopodobnie jutro wyniki badań wody
Tęcza Zręcin - Orzeł Lubla 3:1
LI sesja Rady Gminy Chorkówka - zawiadomienie
Huragan Jasionka - Błękitni Żeglce 2:2
Znikome zainteresowanie wodą z beczkowozu, nadal obowiązuje komunikat
Wyniki niedzielnych spotkań
Pożar domu w Żeglcach, cztery osoby straciły dach nad głową
Zapowiedź niedzielnych spotkań
UWAGA! Woda z wodociągów Gminnych Gminy Chorkówka niezdatna do picia!
Podwójny jubileusz Szkoły Podstawowej w Zręcinie
W Poraju odnaleziono ciało poszukiwanego mężczyzny
Wyniki niedzielnych spotkań
Aktywni Razem - informacja Stowarzyszenia Miłosników Cergowej
Zapowiedź niedzielnych spotkań
Poprzednia
1
...
24
25
26
27
28
29
30
31
32
33
34
...
40
Następna